{
}

Ol Type A Used For

What Are Contractions In English Grammar

What Are Contractions In English Grammar

Max Data Code Html

Max Data Code Html

Making Alkyl Halides From Alcohols Master Organic Chemistry

Making Alkyl Halides From Alcohols Master Organic Chemistry

Juliet Ol Spineart Pdf Catalogs Technical Documentation

Juliet Ol Spineart Pdf Catalogs Technical Documentation

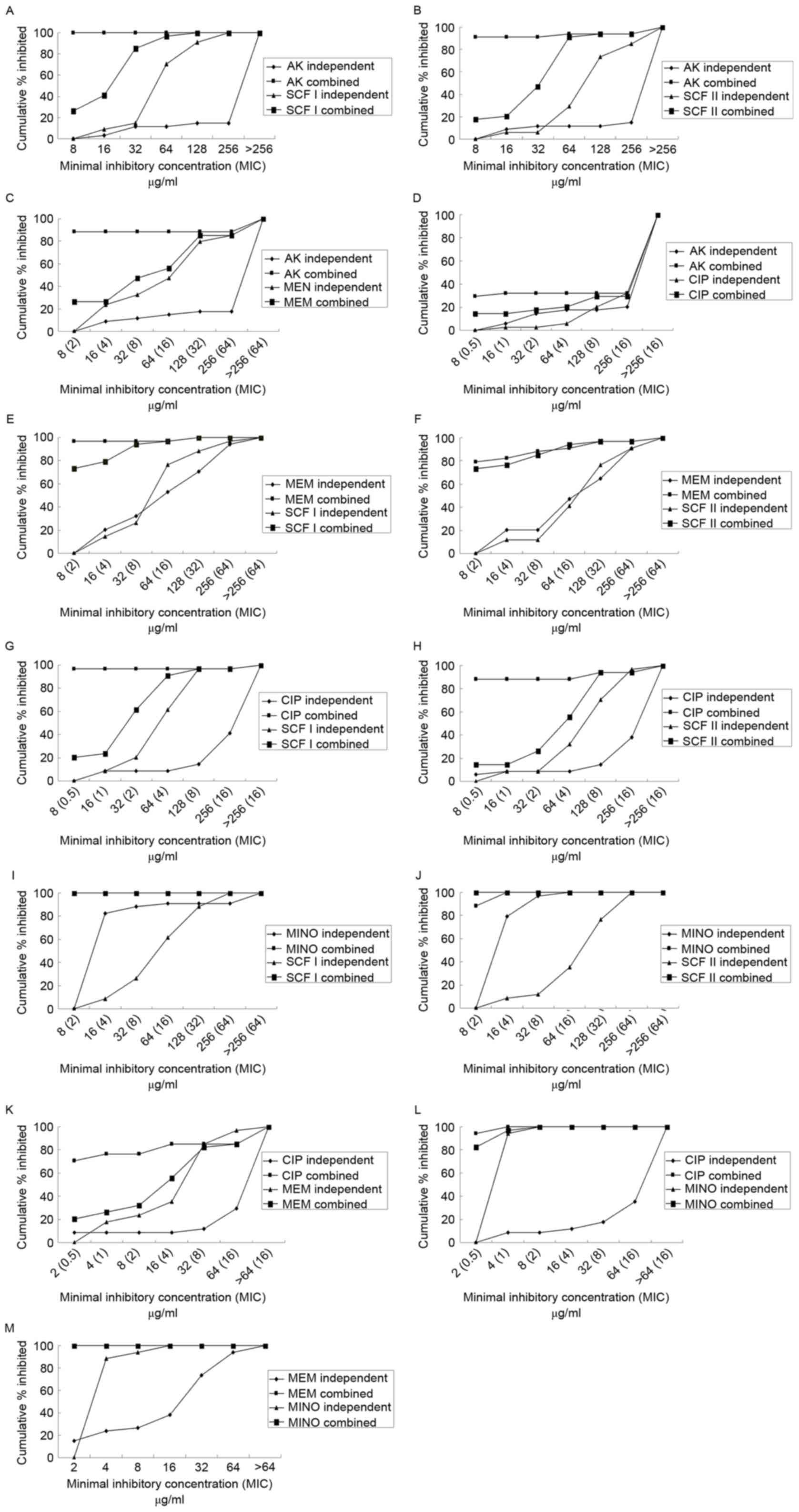
Genetic Characterization And In Vitro Activity Of Antimicrobial Combinations Of Multidrug Resistant Acinetobacter Baumannii From A General Hospital In China

Genetic Characterization And In Vitro Activity Of Antimicrobial Combinations Of Multidrug Resistant Acinetobacter Baumannii From A General Hospital In China

{}